Bahis soruşturması kapsamında yeni detaylar ortaya çıktı. Hakemlerin hangi sitelerde, ne kadar işlem yaptığı ve toplam bahis hacimleri isimleriyle birlikte açıklandı. MASAK raporuna göre 147 hakemin toplamda 21 milyon 778 bin TL değerinde işlem gerçekleştirdiği belirlendi.
MASAK Raporunun Ayrıntıları Paylaşıldı Mı?
İstanbul Cumhuriyet Başsavcılığı’nın yürüttüğü soruşturma çerçevesinde hazırlanan MASAK raporu kamuoyu ile paylaşıldı. Bankacılık işlem kayıtlarına göre, 147 hakemin "MİSLİ, NESİNE, TUTTUR, OLEY, BİLYONER ve MİLLİ PİYANGO" gibi lisanslı şans oyunu platformlarında 18.278 işlem yaptığı belirlenirken bu işlemlerin toplam tutarı ise 21 milyon 778 bin 837 TL olarak kayıtlara geçti.
TFF ve Spor Toto Arasındaki Yazışmalar
Bahis soruşturma sürecinin işleyişine dair yapılan açıklamada şu ifadelere yer verildi;
TFF 1 Ekim'de, Spor Toto Teşkilat Başkanlığı’na lisanslı 573 hakemin bahis sitelerine üyeliği olup olmadığını sordu. Spor Toto bu soruya, 15 Ekim'de yanıt verdi.
Ardından TFF, 27 Ekim'de kamuoyuna yaptığı duyuruda 152 hakemin bahis sitelerine üyeliğinin bulunduğunu açıkça belirtti.
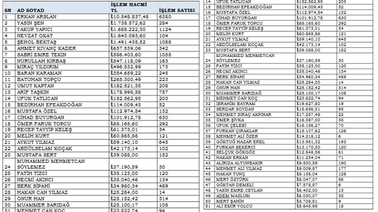
152 Hakemin Para Transferleri İncelemede!
MASAK tarafından elde edilen veriler doğrultusunda, bahis siteleri ile 152 hakem arasında gerçekleşen para hareketlerinin detaylı şekilde incelendiği belirtildi. Analizler doğrultusunda soruşturmanın genişletilerek sürdürüldüğü ise ifade edildi.
Bahis Sitelerine Giriş ve Çıkışlar

Bahis Sitelerine Yapılan Giriş Çıkış Yılları

Bahis Oynayan Hakemlerin İsimleri ve Tutarlar









